Preisentwicklung Wohnmobilstellplätze

Lust auf eine nette und reiselustige Community? Dann melde dich doch ganz einfach, schnell und kostenlos an. Anschließend stehen dir alle Funktionen im Forum zur Verfügung.
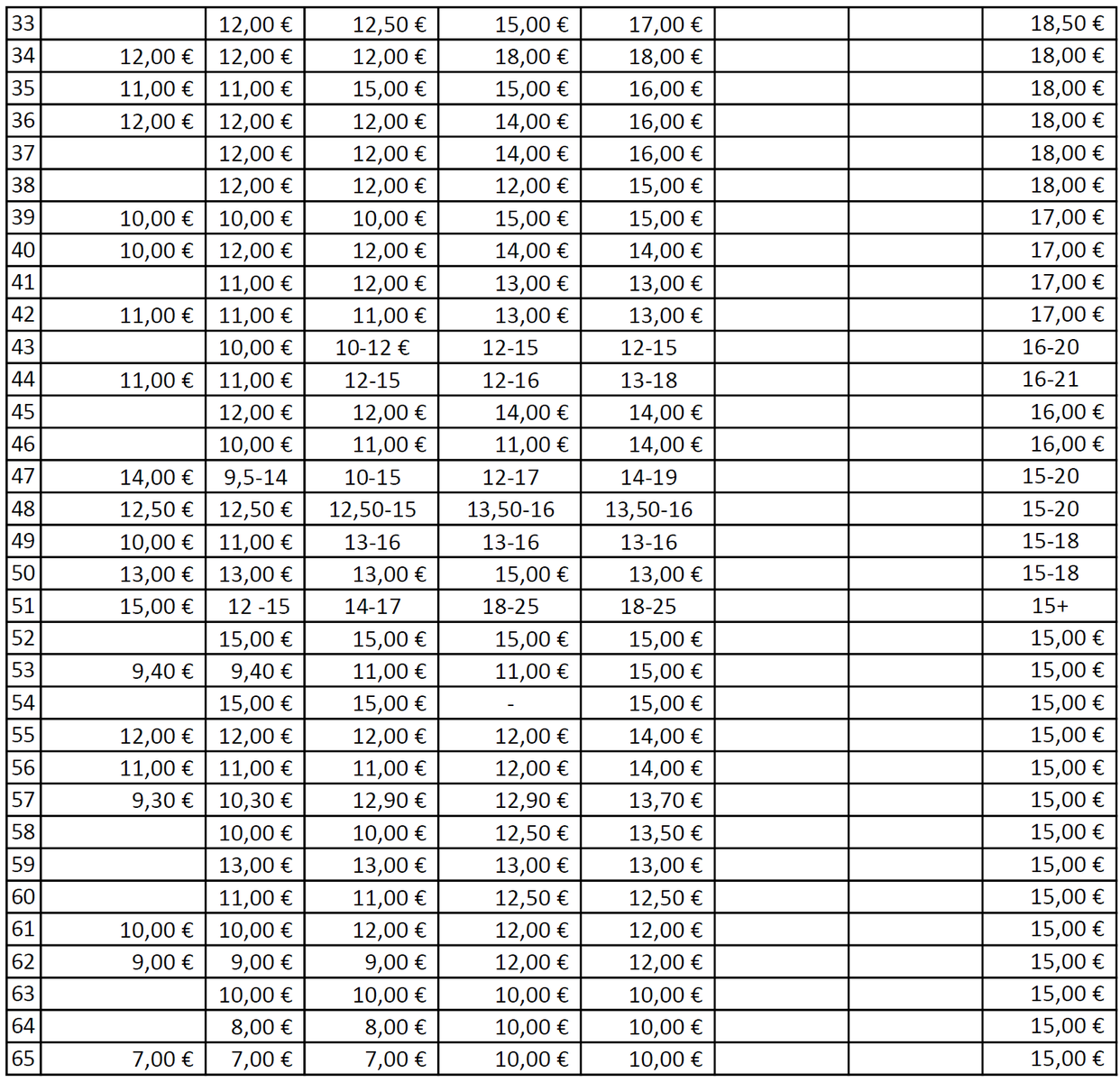
  • Schon seit einigen Jahren beobachte ich die Preise bei Übernachtungen auf Wohnmobilstellplätzen. Einerseits hat das mit meiner Arbeit als Buchautor zu tun, andererseits habe ich natürlich auch die Mitbewerber im Blick.

    Im letzten und im vorletzten Jahr hatte ich das vergessen, doch soeben habe ich die Preisliste auf das Jahr 2026 aktualisiert. Ich hänge sie einfach mal an, auch wenn man in dieser Form vielleicht gar nicht so viel damit anfangen kann. Denn die Namen der jeweiligen Stellplätze habe ich bewusst weggelassen, weil ich hier niemanden anprangern möchte. Es geht mir nur darum, aufzuzeigen, wie die Preise in den letzten Jahren gestiegen oder eben nicht gestiegen sind. Vielleicht interessiert es ja den einen oder anderen, auch wenn man aus der Tabelle eigentlich nur zu sehen ist, dass eben alles teurer wird. Na ja, und man sieht auch, was man heute ungefähr für die Übernachtung einplanen sollte.

    Außerdem sind die Preise nicht immer miteinander vergleichbar. Generell gelten sie für ein Wohnmobil mit zwei Personen. Mal sind Hunde oder Sanitäreinrichtungen inkludiert, mal nicht. Auf manchen Plätzen kommen dann wiederum Gebühren für Kurtaxe hinzu, in anderen Orten gibt es gar keine Kurtaxe. Es ist also nur ein sehr grober Überblick. Die Auswahl reicht von privat betriebenen Stellplätzen bis zu kommunalen Plätzen bzw. Plätzen, die von kommunalen Schwimmbädern oder dergleichen betrieben werden.

    Stellplätze, die in den Vorjahren keine Preisangaben haben, sind entweder neu oder einfach nur neu in der Liste, weil sie mir vorher unbekannt waren.

    Bis auf zwei Stellplätze (Österreich/Italien) befinden sich alle in Deutschland und sind im ganzen Land verteilt. Von den meisten Plätzen auf dieser Liste hat man als Wohnmobilist sicher schon mal etwas gehört. Es sind nur wenige Stellplätze dabei, die man womöglich gar nicht kennt.

    Unser Stellplatz ist der fettgedruckte auf Platz 69. Wie man sieht, haben auch wir in der Vergangenheit bereits zwei Mal den Preis erhöht. Daher soll das bitte nicht so verstanden werden, dass ich mich über die Preiserhöhungen beschwere. Ich weiß nur zu gut, wie so etwas zustande kommt. Ich will also einfach nur mal meine Tabelle zeigen, die ich hin und wieder zur Beobachtung heranziehe und aktualisiere.

    Zu den Preiserhöhung einfach nur mal ein Beispiel: Wir haben bei uns auf dem Platz unter anderem einen großen Müllbehälter. Dieser wird auf Bestellung geleert. Wir zahlen für den Behälter eine monatliche Bereitstellung von 14 Euro. Für die Leerung zahlen wir 170 Euro. Alljährlich werden diese Kosten erhöht. Im Dezember war es mal wieder soweit. Wir bekamen wieder eine Erhöhung. Das habe ich dieses Mal zum Anlass genommen, mir mal eine der ersten Rechnung von Anfang 2017 anzuschauen. Damals kostete die Leerung 80 Euro. Nur mal, um einen ganz kleinen Einblick in das Backend eines Wohnmobilstellplatzes zu geben.

    Hier nun also die Liste:

  • Wir verfolgen die Preise i.d.R nicht wenn wir nur kurz einen Stellplatz nutzen . Aber das unser Lieblingsplatz auf Usedom nun von 32 auf 50 erhöhen wird ( sagte uns der Betreiber am Telefon) geht uns gegen den Strich . Der Platz liegt dicht an der Ostsee , aber wir gehen nicht im Meer schwimmen sondern machen ausschl. Radtouren und können gut auf andere Plätze ausweichen ( was auch unseren Aktionsradius erhöht😁) . Mir ist klar das man kostenorientiert kalkulieren muss , aber wie in vielen Bereichen wird es manchmal übertrieben …… das ist es uns dann manchmal „ nicht wert“ . LG aus Teneriffa wo auch unser Betreiber kräftig einspart 😎

    Vaette…….. liten och grå , smyger in din vrå

    Einmal editiert, zuletzt von Vaette (8. Januar 2026 um 12:48) aus folgendem Grund: Muss noch ergänzen das wir nur auf Plätze gehen die eine Toilette bieten …..der Platz auf Usedom ist ein CP, der Preis (32€) gilt nur in der Nachsaison

  • Wir verstehen auch, wenn Kosten angemessen angepasst werden.
    50 Euro für einen Stellplatz würden wir zurzeit aber sicher nicht bezahlen. Auch bei 32 Euro würden wir gut überlegen.

    Wenn die Gemeinde eine Kurtaxe erhebt, kreiden wir das dem Platzbetreiber nicht an, der kann ja Nichts dafür.
    Das nehmen wir hin, oder fahren eben weiter. Das machen wir abhängig davon, was die Kurtaxe bietet.
    Wenn eine Ermäßigung bei Busfahrten oder anderen Einrichtungen enthalten ist (Schwimmbad etc.), dann ist es ok, auch wenn wir die Angebote nicht immer alle nutzen. Wenn aber von der Gemeinde für Nichts eine Gebühr verlangt wird, sind wir schon öfter nach einer Übernachtung wieder weggefahren, wenn zusätzlich die Stellplatzgebühren hoch waren.

    Wir denken, ein Wohnmobil-Stellplatz sollte nicht mehr als 15 bis 20 Euro kosten, entsprechende Ausstattung natürlich vorausgesetzt.
    Wenn Strom oder Duschen im Preis enthalten sind, kann man wieder nachdenken, ob auch 22 oder 25 Euro noch ok sind.

    Für einen einfachen Parkplatz ohne V/E würden wir soviel nicht zahlen. Da ist die Grenze bei etwa 10 Euro erreicht. Zumindest für uns und in der momentanen Situation. Ob wir in 5 Jahren 30 Euro für normal halten, wissen wir heute natürlich noch nicht :).

    Für uns ist bei einem Stellplatz zuerst wichtig, dass er sauber und sicher ist, eine V/E hat und wenn dann noch Restaurants fußläufig erreichbar sind oder ein Stadtzentrum in der Nähe ist, dann sind wir schon sehr zufrieden. Uns stören normale Straßengeräusche z.B. eher wenig, sind wir von zuhause mehr als gewöhnt, aber ein ruhiger Platz ist natürlich auch unsere erste Wahl.

    liebe Grüße von Ilona und Helmut

    Bevor wir uns weiter mit künstlicher Intelligenz beschäftigen, sollten wir vorher die natürliche Dummheit bekämpfen...

    wenn Du mal eine helfende Hand suchst, beginne die Suche am Ende Deines Armes.
    Link zu unserer Homepage: https://gonzi.de

  • Wenn man in der Nebensaison mit Acsi zwischen 21.- bis 27.- Euro für 2 Personen inkl. Strom bezahlt finde ich das noch immer Akzeptabel und es stimmt für uns. Auch haben wir schon nur 17.50 bis 19.50 Euro alles Inklusive bezahlt und ist noch nicht so lange her, da meine ich Campingplätze und nicht Stellplätze.

    Stellplätze sind nicht unbedingt günstiger vor allem die Stadtstellplätze, da zahlt man so gegen 30.- Euro in der Zwischenzeit und seit einiger Zeit wird für den Anhänger noch extra verlangt was ich nicht einsehe wenn dieser auf dem gleichen Platz wie das Womo stehen kann. Da legen wir ein Veto ein und meistens kommen wir durch damit und sind dann zufrieden.

    Auf Stellplätzen kann es sehr unterschiedlich sein vom Preis her, je nach Lage und Angebot und mit oder ohne Strom usw

    Da wir den letzten Herbst immer auf dem gleichen Platz bleiben mussten wegen dem Unfall meines Partners, waren wir 30ig Tage vor Ort und da war der Preis sogar nur 17.50.- Euro kleiner Platz , 19.50 mittlerer Platz wo wir leider nach 4 Tagen dann auf den kleinen Platz wechseln mussten. Wenn ein XL Platz zur Verfügung steht nehmen wir dann meisten den und das wäre dann 24.50.- Euro Pensionistenpreis und nicht Acsi.

    Dann waren wir noch einige Tage in Naydens Frankreich und danach an der Maseillanplage wo das Preisniveau bei 23.- Euro lag für 2 Personen und Strom.

    In dieser Preisklasse was ich beschreibe hat es dann sehr saubere Sanitäranlagen, V+E sowie gute Restaraunts am Platz oder in der Nähe wo Fussläufig erreichbar sind und gut Essen kann wenn man das will und sich mit Freunden treffen. Haben wir ausgiebig bei der letzten Reise gemacht und es sehr genossen und gut unterhalten und viel gelacht :)

    Es gibt Campingplätze die verlangen Preise die absolut nicht OK sind zum Beispiel erst ab der 4. Nacht gibt es Acsi, vorher nicht. Auf dem berühmtem Tamaritcamping war die Nacht für uns der Preis nicht nach vollziehbar so ab 52.- Euro und nach mehrmaligen nach haken " sie nehmen ja Acsi " und das ist ein max. Preis 27.- Euro sagte er uns aber nicht am Wochenende, erst am Montag wieder wenn überhaupt, das ist eine totale Willkür von manchen Betreibern und das erlebt man mehrmals pro Reise, da fahren wir weiter, das braucht man nicht. Und ich schreibe nur von der Nebensaison X/

    Ein paar Kilometer weiter fanden wir so einen schönen Platz mit dem Preis was vorgegeben war und fühlten uns sehr Willkommen und gut aufgehoben. Was will man mehr, da kommt Freude auf.

    Michael hat die Campingcarparkstellplätze schon erwähnt und so kann man auf diese Plätze ausweichen wenn man nichts anderes findet und kann sogar voraus Reservieren wenn man will, ist eine gute Sache wenn man es braucht und habe die Karte schon seit einiger Zeit 8)

    Alles was den Preis von 27.- Euro nicht übersteigt wird gar nicht Diskutiert und anstandslos bezahlt ganz klar, wir sind ja immer 2 Personen und die Betreiber müssen ja auch noch überleben können und sollte es einmal mehr kosten auch kein Problem, vor allem in der Schweiz aber auch da gibt es günstigere Plätze mit netten Betreibern 8)

    Schauen wir einmal wir es weiter geht und hoffe sehr das wir weiterhin angenehme Reisen machen können ohne wenn und aber .

    mit lieben Grüssen Inge

Jetzt mitreden!

Du hast noch kein Benutzerkonto auf unserer Seite? Registriere dich kostenlos und nimm an unserer Community teil!